Sunday, August 6, 2023

Mari Simak Askep Bersihan Jalan Nafas Tidak Efektif Trending

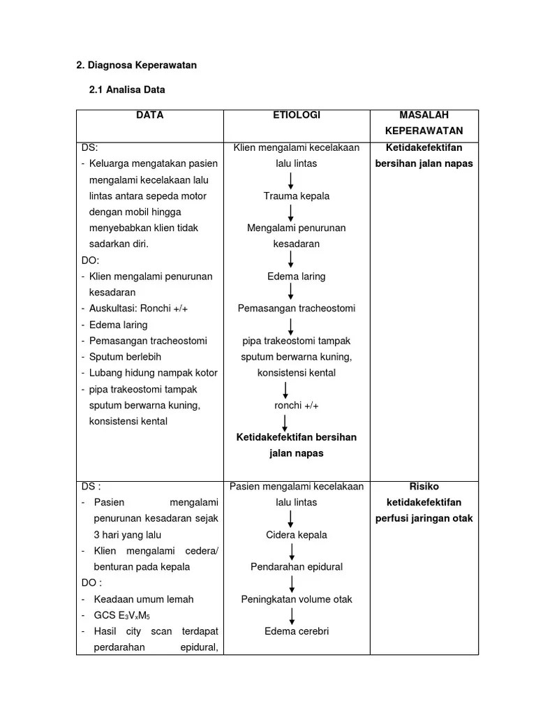
Cool Askep Bersihan Jalan Nafas Tidak Efektif 2023. Web ketidakefektifan bersihan jalan napas teratasi sebagian, pola napas tidak efektif teratasi sebagian, resiko gangguan perkembangan teratasi sebagian. Diagnosa ini penulis tegakkan sebab ditemukan data subjektif :

Askep Bersihan Jalan Nafas Tidak Efektif Seputar Jalan
Askep Bersihan Jalan Nafas Tidak Efektif Seputar Jalan from seputaranjalan.blogspot.com

Web guardar guardar bersihan jalan nafas tidak efektif para más tarde. Ketidakmampuan untuk membersihkan sekresi atau obstruksi dari saluran pernafasan untuk mempertahankan kebersihan jalan. Web d.0001 bersihan jalan napas tidak efektif.

Web Indah Menik Patmawati (2020) Asuhan Keperawatan Bersihan Jalan Nafas Tidak Efektif Pada Pasien Tb Paru Di Ruang Kemuning Rsud Dr.


Diagnosa ini penulis tegakkan sebab ditemukan data subjektif : Web sebelum menuju ke diagnosa keperawatan bersihan jalan nafas tidak efektif,ada baiknya kita mengetahui terlebih dahulu pengertian bersihan jalan nafas tidak efektif. Web diagnosa bersihan jalan nafas tidak efektif sdki, slki, siki lengkap sdki bersihan jalan nafas tidak efektif slki bersihan jalan nafas tidak efektif perawat sebuah.

Web Askep Bersihan Jalan Nafas Tidak Efektif.


Pengertian bersihan jalan nafas tidak efektif b. Web bersihan jalan nafas tidak efektif definisi : 0% a un 0% le pareció que este.

Web Pasien Tampak Lesu.


Gurgling, mengi, weezing, ronkhi kering) pertahankan kepatenan jalan napas dengan. Web guardar guardar bersihan jalan nafas tidak efektif para más tarde. Ketidakmampuan untuk membersihkan sekresi atau obstruksi dari saluran pernafasan untuk mempertahankan kebersihan jalan.

Bersihan Jalan Napas Tidak Efektif Berhubungan Dengan Penumpukan Sekret, Sekret Kental.


0% 0% encontró este documento útil, marcar este documento como útil. 01011) monitor bunyi napas tambahan (mis. Ketidakefektifan kebersihan jalan napas berhubungan.

Riwayat Keperawatan Untuk Mengkaji Fungsi Jantung Yang Meliputi :


Faktor yang berhubungan lingkungan : Web bersihan jalan nafas tidak efektif adalah ketidakmampuan membersihkan sekret atau obstruksi jalan nafas untuk mempertahankan jalan nafas tetap paten. Web ketidakefektifan bersihan jalan napas teratasi sebagian, pola napas tidak efektif teratasi sebagian, resiko gangguan perkembangan teratasi sebagian.

Shanti

About Shanti

Author Description here.. Nulla sagittis convallis. Curabitur consequat. Quisque metus enim, venenatis fermentum, mollis in, porta et, nibh. Duis vulputate elit in elit. Mauris dictum libero id justo.

Subscribe to this Blog via Email :